今天是:
中间体
D-DBTA.H
2
O
NHS or HONSU
其他中间体
苯并噻吩
2-乙酰基苯并噻吩
地 址:
宁夏宁东镇化工新材料园区三区
邮 编:
750409
销售一部:
联系人:
张经理
电 话:
0951-8526050
018914664567
传 真:
0951-8526050
邮 箱:
sales@nxhcchem.com
网 址:
www.dtdjchem.com
销售二部:
联系人:
戚经理
电话:
0571-89738890
15869028377
邮 箱:
qiyiwen_0@163.com
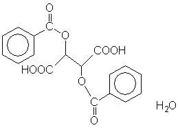
D-DBTA.H
2
O
化学名称:
二苯甲酰-D-酒石酸一水物
CAS NO.:
17026-42-5
分 子 式:
C
18
H
16
O
6
分 子 量:
376.33
结 构 式:
外 观:
白色结晶
参考标准:
企业标准
包 装:
净重25㎏,紙板桶内衬二层PE袋
存 储:
密封,阴凉干燥处
保 质期 :
24月
用 途:
手性拆分剂
公司首页
|
公司简介
|
产品介绍
|
厂房设备
|
在线交易
|
联系我们
|
ENGLISH
宁夏合成生物科技有限公司
版权所有(C)2008
网络支持
中国化工网
全球化工网
生意宝
著作权声明